Galerie 36
Heat Pipe: princip a konstrukce
i Zdroj: Svět hardware
Článek Ostatní Chlazení a skříně Ostatní chlazení

Heat Pipe: princip a konstrukce

Václav Kotlík

22

V tomto článku se dočtete jak heat pipe pracuje, z jakých částí se skládá a z čeho je vyrobena. Je zde popsán termosifon, který většina lidí zaměňuje za heat pipe a pár dalších zajímavostí, které jsem na internetu nenalezl.

Odměníme každého! Vyplňte komunitní průzkum a získejte luxusní ceny

Odměníme každého! Vyplňte komunitní průzkum a získejte luxusní ceny

Kdo jste, na čem a co hrajete, jaký obsah konzumujete a jaký vztah máte k AI? Věnujte nám pár minut a jako dárek za vyplnění získáte slevu na nákup a šanci získat také další luxusní ceny.

Reklama

Úvod

Možná se budete divit, ale heat pipe není objevem nikterak novým. Jako první si ji nechal patentovat R. S. Gaugler již v roce 1942 (U.S. patent č. 2 350 348), aby byla využívána při chlazení ledových boxů. Další úpravu provedl v patentu 2 448 261 v roce 1945, kde použil knot (porézní materiál na vnitřním obvodu heat pipe), který měl velké póry na straně kondenzátoru a malé na straně výparníku. R. S. Gaugler si postupem času ještě patentoval několik dalších vylepšení svého vynálezu.

Heat Pipe: princip a konstrukce

Heat pipe má v dnešní době řadu využití. Především se s ní setkáme v průmyslu, kde se vzhledem ke své obrovské tepelné vodivosti, která je až 1000 x větší než u měděné tyče stejných rozměrů, používá k chlazení výkonných elektrických motorů, plynových turbin, laserů, nukleárních reaktorů, raketových motorů apod. Nejvyšší tepelný tok, který byl u heat pipe naměřen, byl 15 000 wattů na plochu jednoho centimetru čtverečního průřezu. Jako pracovní médium bylo použito lithium o teplotě 1500°C.

Mnozí z nás se s heat pipe setkali před pár lety u chladičů na CPU a později i GPU, v kterých se v podstatě veškerá spotřeba elektrické energie přemění na teplo. Zpočátku, kdy byl zdrojem výkonu osobního počítače procesor řady XT nebo 80286, nebyl potřeba chladič žádný. Později se vzrůstající spotřebou procesorů se začaly používat chladiče pasivní, které však záhy přestaly dostačovat a nahrazovaly se chladiči aktivními. Dnes, kdy některé procesory mají spotřebu při zátěži až 145W viz. například

měření na Xbitlabs

, dochází dech i obyčejným aktivním chladičům. U těch lze chladicí výkon zvětšit přestupní plochou, což má za následek nejen velké rozměry a to, že se nevejdou jen tak do nějaké počítačové skříně, ale i velkou hmotnost a příliš by mechanicky namáhaly základní desku. Hlavním důvodem je, že když chcete udělat delší žebra na chladiči, musíte je i zesílit, aby byl se teplo dostalo až na konec žeber. V opačném případě by došlo k tomu, že teplota na konci žeber by byla nízká a nedocházelo by tam prakticky k žádnému přestupu tepla.

Heat Pipe: princip a konstrukce

Dalším řešením je použití výkonnějšího ventilátoru, to však naráží na problém hlučnosti a to zvlášť v dnešní době, kdy každý chce mít své PC co nejtišší. Proto výrobci zvolili použití heat pipe, které zvýší účinnost žeber a umožní je prodloužit, aniž by se musela zvětšovat jejich tloušťka. Dalším, ještě výkonnějším řešením je konstrukce chladiče viz. foto, kde jsou žebra umístěna a ofukována vodorovně se základní deskou. Tím je zajištěno lepší proudění vzduchu, z čehož plyne i větší chladicí efekt oproti chladičům s žebry kolmo k základní desce.

Princip

Heat pipe slouží k přenosu tepla z jednoho místa na druhé za pomoci par pracovní látky. Pracuje na velmi jednoduchém principu. Jde o hermeticky uzavřený kovový válec, který je naplněn tekutinou. Na jednom konci je zasazený do zdroje tepla a na druhém do chladiče. Po dosažení teploty, na kterou je nastaven, se začne pracovní látka (čpavek, voda......) odpařovat a proudí směrem k ochlazovanému místu, kde kondenzuje. Proud par se dává do pohybu na základě rozdílných tlaků v místě výparníku (tlak vyšší) a v místě kondenzátoru (tlak nižší). Návrat kondenzátu zpět ke zdroji tepla je zajištěn kapilárními silami v porézním materiálu, který kondenzát v podstatě "nasává" zpět ke zdroji tepla. To heat pipe umožňuje, aby pracovala v poloze, kdy je kondenzátor níže než výparník. Dnešní porézní materiály dokáží nasát kondenzát zpět k výparníku až z hloubky 40 centimetrů.

Heat Pipe: princip a konstrukce

Často se můžete setkat (především na internetu) s dvoufázovým termosifonem, který je mylně označován jako heat pipe. Pracuje na stejném principu, konstrukčně se však liší v tom, že nemá porézní materiál po obvodu nebo jiné zařízení, které by zajistilo návrat kondenzátu k výše položenému výparníku. Jeho pracovní poloha je tedy omezena tím, že kondenzátor musí být vždy ve vyšší poloze než výparník, aby páry po zkapalnění stekly zpět do výparníku.

Heat Pipe: princip a konstrukce

Legenda:

1. Kovový hermeticky uzavřený válec

2. Porézní materiál se vzlínající látkou

3. Prostor naplněný párami pracovní látky

4. Vnitřní strana válce se zkondenzovanou stékající pracovní látkou

Pracovní teplota, to jest teplota při které se začne pracovní látka vařit, se nastavuje velikostí tlaku uvnitř heat pipe (termosifonu). Pokud zde budu mluvit o tlaku, myslím tím tlak absolutní, to jest počítaný od nuly (vakuum) a ne od tlaku atmosférického. Ten se pohybuje kolem hodnoty 101 kPa. Zmíním-li tlak 40 kPa, jde o tlak o 61 kPa nižší než je tlak atmosférický (tedy podtlak). Jak jistě víte, bod varu kapaliny je na tlaku závislý. Například u vody, kterou lze rovněž v heat pipe použít jako pracovní látku, je při atmosférickém tlaku 100°C. Pokud si naplánujete cestu do vysokohorských oblastí, kde je tlak nižší, voda se bude vařit například už při dosažení teploty 95°C. U heat pipe, se kterými se setkáte v počítačích lze vodu jako pracovní látku použít. To ukazuje následující tabulka 1 se závislostí teploty varu vody na absolutním tlaku:

Tabulka závislosti teploty varu vody na absolutním tlaku

Bod varu [°C]0,0151015202530
Tlak [kPa]0,610,871,231,712,343,174,25
Heat Pipe: princip a konstrukce
Heat Pipe: princip a konstrukce
Heat Pipe: princip a konstrukce
Heat Pipe: princip a konstrukce
Heat Pipe: princip a konstrukce
Heat Pipe: princip a konstrukce
Heat Pipe: princip a konstrukce
Heat Pipe: princip a konstrukce
Bod varu [°C]35404550556065
Tlak [kPa]5,637,389,5912,3515,7619,9525,04
Heat Pipe: princip a konstrukce
Heat Pipe: princip a konstrukce
Heat Pipe: princip a konstrukce
Heat Pipe: princip a konstrukce
Heat Pipe: princip a konstrukce
Heat Pipe: princip a konstrukce
Heat Pipe: princip a konstrukce
Heat Pipe: princip a konstrukce
Bod varu [°C]707580859095100
Tlak [kPa]31,2038,6047,4157,8770,1884,61101,42
Heat Pipe: princip a konstrukce
Heat Pipe: princip a konstrukce
Heat Pipe: princip a konstrukce
Heat Pipe: princip a konstrukce
Heat Pipe: princip a konstrukce
Heat Pipe: princip a konstrukce
Heat Pipe: princip a konstrukce
Heat Pipe: princip a konstrukce
Bod varu [°C]105110115120125130135
Tlak [kPa]120,90143,38169,18198,67232,22270,26313,20

Pro zajímavost uvedu výpočet, kolik vody se odpaří v heat pipe zapuštěné do desky s teplotou 80°C a tepelném výkonu 120 W.

Aby heat pipe s vodou užitou jako pracovní látka začala odebírat teplo při 80°C, musí v ní být podle tabulky absolutní tlak 47,41 kPa (tedy podtlak 101,42 - 47,41 = 54,01 kPa oproti tlaku atmosférickému). V případě že bychom chtěli mít pracovní bod např. při 77°C, bude lepší když si z tabulky 1 sestrojíme graf a odtud tlak odečteme, protože nejde o lineární závislost. Vztah pro tepelný výkon odebraný desce odpařováním páry:

Heat Pipe: princip a konstrukce

Q - odebíraný výkon [W]

r - výparné teplo [J/kg]

m - hmotnost odpařené vody [kg/s]

Q.......80 W

r ........2 310 000 J/kg (je závislé na teplotě varu vody, odečteno pro 80°C)

množství odpařené vody

Heat Pipe: princip a konstrukce

Voda má obrovské výparné teplo, v tom spočívá její výhoda. To znamená, že na odvedení tepla se jí odpaří oproti ostatním používaným kapalinám velmi málo.

Jak jistě víte, pokud máme nádobu s kapalinou a přivádíme do ní teplo, teplota nádoby i kapaliny roste až do bodu varu kapaliny. Po dosažení této teploty na ní setrvá, dokud se veškerá kapalina nevyvaří, pak teplota nádoby dále poroste. Je to způsobeno tím, že veškeré teplo odebere kapalina aby se přeměnila v páru. Z tohoto si můžeme odvodit, jak se chová chladič s heat pipe oproti chladiči bez heat pipe.

Heat Pipe: princip a konstrukce

Legenda:

To Teplota okolí (místnost, skříň PC.......)

T Teplota desky chladiče

Q Přiváděné množství tepla (bráno od nuly)

Graf závislosti střední teploty desky chladiče na dodávaném tepelném výkonu (například od procesoru nebo jiného zdroje tepla) si vysvětlujeme takto:

I-II

Začínáme dodávat teplo [W]. S rostoucím dodávaným teplem nám roste teplota T v souladu s fyzikálními zákony přestupu tepla do okolí pomocí žeber. Bod II je mezním bodem, kdy začíná pracovat heat pipe.

II-III

Od bodu II roste teplota dál v závislosti na rostoucím Q u výměníku bez heat pipe (znázorněno čárkovaně). Výměník s heat pipe se chová odlišně (znázorněno plnou čarou), T zůstává konstantní a teplo je distribuováno na konec žeber. Ty jsou zprvu chladnější, avšak po přívodu stále většího tepla z heat pipe postupně srovnají teplotu s počátkem (bod III).

III-IV

Přiváděné Q, je již na tolik velké, že ho žebra při dosavadní teplotě nejsou schopna předat do okolí. Začíná stoupat T, k čemuž dochází i v heat pipe, kde vzroste tlak a posune se bod varu směrem vzhůru.

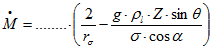
Chladič s heat pipe má tedy oproti klasickému posunutou a plošší charakteristiku, to je způsobeno vyšší účinností plochy žeber, podílející se na přenosu tepla do okolí. Samozřejmě aby tomu tak skutečně bylo, je potřeba mít heat pipe dostatečně nadimenzované. Kromě průměru a délky, se musí rovněž počítat s úhlem náklonu. Jen pro zajímavost uvedu část vzorce, ve které je vyjádřena maximální cirkulace pracovní látky v heat pipe v závislosti na úhlu náklonu od horizontální polohy (0°-180° jsou první dva kvadranty)

Heat Pipe: princip a konstrukce

[kg/s]

kde

M Maximální cirkulační oběh [kg/s]

rσ minimální kapilární radius [m]

g gravitační zrychlení [m/s2]

ρl hustota kapaliny [kg/m2]

Z délka heat pipe [m]

θ úhel náklonu od horizontální roviny [deg]

σ povrchové napětí [N/m]

α kontaktní úhel (týká se smáčivosti, cos je roven jedné v případě dokonalé smáčivosti)

Konstrukce

Konstrukčně se heat pipe liší hlavně podle způsobu dopravy kondenzátu pomocí kapilárních sil zpět k výparníku. Dále podle použité pracovní látky, či podle toho zda jsou regulované nebo neregulované. Některé z konstrukčních řešení jsou naznačeny na schématu.

Heat Pipe: princip a konstrukce

Legenda:

a) Základní heat pipe

b) Heat pipe s hlavou a systémem artérií

c) Plynem kontrolovaná heat pipe, nazývaná též heat pipe s proměnnou vodivostí. Při vzrůstu teploty dojde ke zvětšení objemu plynu, který dá do pohybu píst jenž zmenší přestupnou plochu z kondenzátoru do chladiče.

Další obrázek znázorňuje úpravy heat pipe k zajištění kapilární přepravy kondenzátu

Heat Pipe: princip a konstrukce

Legenda:

a) Stěna válečku s porézním materiálem

b) Úprava stěny drážkováním

c) Drážkování překryté sítí

d) Porézní materiál + síť

e) Stěna válečku potažená sítí s distančními kusy

f) Porézní materiál s drážkovou úpravou

g) Porézní materiál s artériemi

Konstrukční uspořádání artérií

Heat Pipe: princip a konstrukce

Legenda:

1) Vnitřní povrch artérie

2) Oblast par pracovní látky

3) Drážkování

4) Síť

5) Oblast zaplněná kapalinou

6) Síť (překřížená nebo dvojitá)

7) Podpůrná konstrukce

8) Rozříznutá trubice (bez kapilárií)

Následující tabulka charakterizuje pracovní látky, rozsahy teplot a používané materiály na stěny heat pipe.

Pracovní látkaRozsahy operačních teplot [°C]Vlastnosti při atmosférickém tlakuVhodný konstrukční materiál
Bod Varu [°C]*Transportní činitel kapaliny

Dusík

-200 ÷ -170

-196

9 x 106

Nerezová ocel

Čpavek

-70 ÷ 50

-33

1 x 108

Nerezová ocel, nikl, hliník

Freon 12

-60 ÷ 40

-30

1 x 107

Nerezová ocel, měď

Methanol

-30 ÷ 100

65

5 x 105

Měď

Voda

10 ÷ 200

100

5 x 108

Měď, Nikl

Rtuť

190 ÷ 500

356

9 x 109

Nerezová ocel

Draslík

400 ÷ 800

760

5 x 108

Nerezová ocel

Sodík

500 ÷ 900

883

2 x 109

Nerezová ocel

Lithium

900 ÷ 1500

1330

8 x 109

Tantal, TZM

*Čím vyšší je transportní činitel, tím lepší je cirkulace v heat pipe.

Závěr

Doufám, že Vám článek alespoň částečně osvětlil problematiku heat pipe. Původně jsem zamýšlel uvést kompletní vztahy pro návrh, jejich složitost by však velmi zkomplikovala celý text, který by byl pro většinu čtenářů nesrozumitelný. K jejich pochopení je třeba větších znalostí v termomechanice a mechanice tekutin.

Použitá literatura:

Geoffrey F. Hewitt: Heat Exchanger Design Handbook

Ing. Dr. Jaromír Cihelka a kol.: Vytápění, větrání a klimatizace


Reklama
Reklama

Komentáře

Nejsi přihlášený(á)

Pro psaní a hodnocení komentářů se prosím přihlas ke svému účtu nebo si jej vytvoř.

Rychlé přihlášení přes:

Reklama
Reklama
Reklama