Galerie 39
Návrh pasivního chladiče (výměníku) pro PC
i Zdroj: Svět hardware
Článek Ostatní Chlazení a skříně Ostatní chlazení

Návrh pasivního chladiče (výměníku) pro PC

Václav Kotlík

16

Zajímáte se o problematiku chlazení PC? Nechcete poslouchat hvízdání lopatek hlučných ventilátorů a nemáte chuť utrácet nehorázné sumy za pasivní chladiče od renomovaných výrobců? Navrhněte si chladič vlastní. Tento článek je návodem, jak si navrhnout vlastní pasivní chladič (výměník) využívající vodního okruhu. Je určen pro ty, co jsou zručnější a jsou schopni si jej zkonstruovat.

Odměníme každého! Vyplňte komunitní průzkum a získejte luxusní ceny

Odměníme každého! Vyplňte komunitní průzkum a získejte luxusní ceny

Kdo jste, na čem a co hrajete, jaký obsah konzumujete a jaký vztah máte k AI? Věnujte nám pár minut a jako dárek za vyplnění získáte slevu na nákup a šanci získat také další luxusní ceny.

Reklama

V případě tohoto návrhu k odvodu tepla od procesoru, případně grafické karty, slouží vodní okruh (zde se budeme zabývat pouze chladičem - výměníkem). Pasivní chladič připevněný k bočnici PC je vhodný pro sestavy se středním výkonem (vychází jako poměrně velký - pokud by nebyl připevněn k bočnici a nebyli bychom omezováni rozměry, byl by vhodný i pro výkonné sestavy). Pro sestavy s výkonnou grafickou kartou a procesorem je už vhodnější zvolit chladič aktivní (s větrákem), který vychází rozměrově jako podstatně menší (avšak hlučnější).

Z této zevrubné charakteristiky vyplývá, že pasivní chladič je vhodný pro toho, kdo chce mít tiché PC. Někdo by namítl, že stačí použít grafickou kartu s pasivním chlazením a koupit dnes dostupný obří pasivní chladič na procesor. To sice funguje, ale musíte mít prostornou a dobře odvětrávanou skříň, kde se opět nevyhnete výše zmíněným větrákům.

Nejvhodnějším řešením se proto jeví pasivní chladič, ať už vyrobený nebo koupený, umístěný vně počítače a připevněný k jeho boku. To umožní jeho plnou mobilitu, bez odpojování hadic, vypouštění vody a podobných zbytečností. Má i další výhody - teplo, které je odvedené od procesoru a grafické karty (což v řadě případů tvoří víc jak polovinu tepla vzniklého) vodním okruhem ven, nám pak nemůže škodit uvnitř. Není potřeba chladit disky, paměti a odvětrávat case. Teplota uvnitř výrazně klesne a tím se zlepší přestup tepla z namáhaného hardwaru. Toto například spousta výrobců chlazení neuvádí, nabízí chlazení snad úplně všeho, co v PC máte, a snaží se z vás vytáhnout co nejvíce peněz.

Návrh pasivního chladiče (výměníku) pro PC

Něco málo o sdílení tepla přirozenou konvekcí

Sdílení tepla se dělí na sdílení tepla vedením (uvnitř tělesa nebo z tělesa na těleso), prouděním (konvekcí) a sáláním (radiací). Sdílení prouděním nebo-li konvekcí probíhá tak, že teplo je sdíleno mezi proudící tekutinou (vzduch, voda, olej...) a povrchem obtékaného tělesa (v našem případě to budou žebra výměníku). Proudění je přitom tvořeno buď uměle (větrákem, čerpadlem) nebo samočinně (náš případ) vlivem rozdílných hustot tekutiny (komínový efekt).

Rozdílná hustota je v našem případě způsobena rozdílnými teplotami vzduchu v místnosti a vzduchu v blízkosti žeber výměníku. Tenká vrstvička vzduchu kolem žebra se ohřeje na vyšší teplotu, než je vzduch okolní, čímž se její hustota sníží, tudíž je ohřátý vzduch u žebra lehčí než vzduch okolní a začne stoupat vzhůru. Takto funguje mechanizmus přirozené konvekce. Čím větší je pak rozdíl teplot mezi žebry a vzduchem v místnosti, tím je proudění kolem žeber výraznější a odvod tepla lepší.

Všechno má ovšem svá omezení a i v tomto případě zjistíme, že se nám výsledný součinitel prostupu tepla ustálí na nějaké maximální hodnotě, za kterou už dále jít nemůžeme. Uvedu zde pro názornou představu rozmezí součinitele přestupu tepla pro různé případy. Jeho rozměr je [W/m2K] a udává, kolik wattů tepelného výkonu bude přeneseno povrchem o velikosti jednoho metru čtverečního při rozdílu teplot 1K nebo jednoho stupně Celsia.

pro klidný vzduch

α

3-20

[W/m2.K]

pro proudící vzduch

α

10-100

[W/m2.K]

pro proudící kapaliny

α

200-10000

[W/m2.K]

pro vroucí kapaliny

α

1000-20000

[W/m2.K]

pro kondenzující vodní páru

α

6000-60000

[W/m2.K]

Určení součinitele přestupu tepla α je tedy klíčové ke správnému návrhu výměníku. Vychází se z takzvaných kriteriálnich rovnic, kterých je velké množství a platí vždy jen pro určité podmínky a tvary obtékaných těles. V našem případě použijeme vztah pro obtékání na svislé rovinné stěně, který však není tabulkový, ale je určený experimentálně a je užívaný při výpočtech vytápěcích zařízení. U přirozené konvekce lze rozlišovat tři druhy proudění a to laminární, vírnaté (což je přechod mezi laminárním a turbulentním) a turbulentní. Laminární proudění je proudění, při kterém nevznikají kolem obtékaného tělesa víry. Zpravidla se s ním můžeme setkat při malých rychlostech proudící kapaliny. V našem případě se nás netýká, budeme se zabývat pouze prouděním vírnatým a turbulentním.

Vztahy pro výpočet součinitele přestupu tepla (upozorňuji, že se týkají pouze našeho případu a nelze je použít jinde)

Návrh pasivního chladiče (výměníku) pro PC
Návrh pasivního chladiče (výměníku) pro PC
Návrh pasivního chladiče (výměníku) pro PC
Návrh pasivního chladiče (výměníku) pro PC

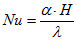
α

hledaný součinitel přestupu tepla [W/m2.K]

H

výška žebra [m]

λ

tepelná vodivost tekutiny [W/m.K]

Nu

Nusseltovo číslo

C,n

experimentálně zjištěné hodnoty

Gr

Grashofovo číslo

Pr

Prandtlovo číslo
Návrh pasivního chladiče (výměníku) pro PC
kinematická viskozita tekutiny [m2/s]

a

teplotní vodivost tekutiny [m2/s]

β

izobarický součinitel objemové roztažnosti [1/K]

g

tíhové zrychlení [m/s2]

Δt

rozdíl teplot povrchu žebra a okolního vzduchu [°C] nebo [K]
Pro vírnaté proudění
Návrh pasivního chladiče (výměníku) pro PC
C=0,54n=0,25
Pro turbulentní proudění
Návrh pasivního chladiče (výměníku) pro PC
C=0,135n=0,33

Stanovení součinitele přestupu tepla

Vzhledem k tomu, že výpočet podle výše uvedených vzorců nepatří zrovna mezi málo pracné a to zvláště v případech, kdy si chcete zvolit z několika variant velikostí žeber a pracovních podmínek chladiče (teplota oběhové vody, teplota v místnosti), připravil jsem pro vás grafy, ze kterých tento součinitel snadno určíte. K dispozici je šest grafů, každý z nich je vytvořený pro jinou výšku žebra. V jednotlivých grafech je znázorněno pět křivek, každá z nich je pro jinou teplotu vzduchu v místnosti. Vybere se samozřejmě taková teplota, jakou máte doma nastavenou v místnosti s počítačem. Volte vždy teplotu vyšší, když pak místnost přetopíte, nestane se vám, že by u vašeho počítače došlo k přehřátí.

Střední teplotu chladiče si volíme. Jde o průměrnou teplotu určenou z teploty vody vstupující a teploty vody vystupující z chladiče. Tedy

Návrh pasivního chladiče (výměníku) pro PC

.

Teplotu procesoru pak můžeme odhadnout podle vztahu

Návrh pasivního chladiče (výměníku) pro PC

, kde je

Tpr

teplota na povrchu procesoru [°C]

Qp

spotřeba procesoru [W]

b

tloušťka stěny vodního chladiče připevněného na procesor (bere se tloušťka stěny na straně procesoru) [mm]

λ

tep. vodivost materiálu (měď 394 W/m.K, hliník 215 W/m.k)

Sp

teplosměnná plocha procesoru [mm2]

tvstup

teplota vstupující vody do našeho navrhovaného chladiče [°C]

tvyst

teplota vystupující vody z našeho navrhovaného chladiče [°C]

Z grafu závislosti průtočného množství vody na celkové spotřebě chlazených komponent vidíme, jaký potřebujeme průtok vody k jejich uchlazení při zvoleném teplotním rozdílu tvstup-tvýst. To znamená, že při chlazení například procesoru o spotřebě 100W (dáme si podmínku, že teplota vstupní a výstupní vody z chladiče se nesmí lišit více jak o 2°C - čím menší rozdíl mezi vstupní a výstupní tím lépe) budeme podle křivky pro rozdíl teplot 2°C potřebovat čerpadlo, které nám přečerpá minimálně 40 kg/h vody. Z toho je patrné, že k chlazení PC (myslím všeobecně) nepotřebujeme nijak zvlášť výkonné čerpadlo. Z téhož grafu si rovněž můžeme orientačně odečíst (interpolací), jaký budeme mít rozdíl teplot, když máme čerpadlo, které nám dává určité průtočné množství vody a máme danou spotřebu komponent.

Návrh pasivního chladiče (výměníku) pro PC
Návrh pasivního chladiče (výměníku) pro PC
Návrh pasivního chladiče (výměníku) pro PC
Návrh pasivního chladiče (výměníku) pro PC
Návrh pasivního chladiče (výměníku) pro PC
Návrh pasivního chladiče (výměníku) pro PC
Návrh pasivního chladiče (výměníku) pro PC

U grafu, kde je výška žebra 25 cm, jsem musel proložit graf logaritmickou křivkou, jelikož v něm docházelo k přechodu od vírnatého proudění k proudění turbulentnímu a jednotlivé křivky byly v místě přechodu mírně zvlněné.

Můžeme si všimnout, že se součinitel přestupu tepla mění nejen s rozdílem teplot ale i s výškou žeber, to platí v našem případě jen do H = 32 cm. Dále pak zůstává součinitel stejný a mění se už jen v závislosti na rozdílu teplot.

Stanovení šířky žeber a jejich účinnosti

K určení skutečného výkonu žebra bude potřeba ještě stanovit jeho takzvanou účinnost. Musíme brát v úvahu, že teplota žebra není po celé jeho ploše stejná, ale klesá nám od námi zvolené střední teploty v závislosti na tloušťce žebra a vzdálenosti od trubky s oběžnou vodou. V krajním případě by mohlo dojít i k tomu, že žebro by se v určité vzdálenosti od trubky ochladilo až na teplotu vzduchu v místnosti. Účinnost žebra, je poměr tepla, které skutečné žebro (s různou teplotou povrchu) předá do okolního vzduchu, ku teplu, které by předalo, kdyby mělo po celé své ploše stejnou teplotu.

Návrh pasivního chladiče (výměníku) pro PC

Je několik způsobů, jak stanovit účinnost žebra. První z nich je podle následujícího grafu a druhý je pro ty méně šťastné, co jim nevychází poměr A/D < 2.

Návrh pasivního chladiče (výměníku) pro PC

kde je

ηž

hledaná účinnost žebra

α

námi stanovený součinitel přestupu tepla [W/m2.K]

λ

tepelná vodivost materiálu žebra
Návrh pasivního chladiče (výměníku) pro PC
měď 394 W/m.K
Návrh pasivního chladiče (výměníku) pro PC
hliník 215 W/m.K
Návrh pasivního chladiče (výměníku) pro PC
ocel 47 W/m.K

δ

tloušťka žebra [m]

D

průměr trubky s cirkulující vodou [m]

A

šířka žebra [m]

U návrhu šířky žeber je potřeba držet se uvedeného schématu, aby stanovená účinnost skutečně odpovídala účinnosti reálné.

Návrh pasivního chladiče (výměníku) pro PC

Pro druhý způsob platí následující vztahy.

Návrh pasivního chladiče (výměníku) pro PC

(pozor, nezaměňovat tgh za obyčejný tg) kde

Návrh pasivního chladiče (výměníku) pro PC

Tento vztah je sice určen pro žebra s rovinnou základnou, ale pro náš případ je dostatečně přesný a můžeme ho použít.

Stanovení výsledného tepelného výkonu žebra a výměníku

V předchozí části článku jsme si stanovili již všechny potřebné hodnoty a nyní nám již zbývá jen určit celkový výkon jednoho žebra a celého výměníku. Vztah pro přestup tepla z žebra do okolí je

Návrh pasivního chladiče (výměníku) pro PC

Počet žeber výměníku stanovíme dle vztahu

Návrh pasivního chladiče (výměníku) pro PC

kde je

celkový tepelný výkon žebra [W]

α

součinitel přestupu tepla [W/m2.K]

A

šířka žebra [m]

H

výška žebra [m]

ηž

účinnost žebra

tstř

střední teplota oběžné vody [°C],[K]

tok

teplota vzduchu v místnosti [°C],[K]

Q

celková spotřeba chlazených komponent [W]

Schéma doporučené konstrukce výměníku

Návrh pasivního chladiče (výměníku) pro PC

Je nutné sestavit rozvod trubek na oběžnou vodu podle daného schématu. Tím se zajistí, že každou trubkou poteče stejné množství vody a rozložení teplot bude na výměníku optimální. Pokud zvolíte rozvod jinak, může se vám stát, že budou žebra v jedné části výměníku chladná oproti části jiné v důsledku různého průtoku vody. Takový výměník pak nepodává optimální výkon.

Příklad návrhu výměníku s přirozenou konvekcí

Snažil jsem se vysvětlit problematiku návrhu výměníku co možná nejsrozumitelněji. Nevím, jak moc dobře se mi to podařilo, a proto pro jistotu, aby při vašem návrhu nedošlo ke zbytečným chybám a omylům, zde uvedu příklad na výpočet takového výměníku. Nezapomeňte dosazovat ve správných jednotkách, u použitých vzorců jsem pro každou veličinu tyto jednotky uvedl.

Dáno:

Návrh pasivního chladiče (výměníku) pro PC
Spotřeba procesoru

60 W

Spotřeba grafické karty

70 W

Návrh pasivního chladiče (výměníku) pro PC
Návrh pasivního chladiče (výměníku) pro PC

Postup:

Návrh pasivního chladiče (výměníku) pro PC
Celková spotřeba chlazených komponent

130W

Teplota v místnosti

24°C

Výška bočnice u PC

410 mm

Volím střední teplotu oběžné vody

50°C

Volím materiál žeber měď

λ = 394W/m.K

- S ohledem na rozvod trubek podle schématu volím výšku žebra 330 mm. Vycházím tedy z posledního grafu pro stanovení součinitele přestupu tepla, který se týká H ≥ 32 cm a pro teplotu v místnosti 24°C a teplotu oběžné vody 50°C. Určuji, že součinitel přestupu tepla α = 4,5 W/m2.K

- Zvolím si, že maximální rozdíl teplot oběžné vody na vstupu a výstupu z výměníku bude 1°C. Z grafu závislosti průtočného množství na celkové spotřebě komponent stanovím minimální průtočné množství vody dodávané čerpadlem q = 125kg/h.

tvstup 49,5°C

tvýst 50,5°C

Maximální teplota na povrchu procesoru (S = 193mm2) při tloušťce stěny měděného chladiče procesoru 3mm je pak podle vztahu

Návrh pasivního chladiče (výměníku) pro PC

...což vyhovuje. Jistě jste si všimli, že pro velké průtoky čerpadel, které se dají k vodnímu oběhu sehnat, kdy q > 200 kg/h, respektive 200 litrů/h, lze rozdíl teplot vstupu a výstupu zanedbat, a u vztahu pro teplotu povrchu procesoru můžeme použít místo tvstup, teplotu tstř.

- Volím šířku žebra A=80 mm a tloušťku 0,5mm, průměr měděné trubky pro oběžnou vodu je cca 16mm, tedy A/D = 80/16 = 5, což je větší než 2, a proto nelze použít stanovení účinnosti žebra přes graf.

Návrh pasivního chladiče (výměníku) pro PC
Návrh pasivního chladiče (výměníku) pro PC

U materiálů, jako je měď nebo hliník, vychází účinnosti poměrně dobré. Podstatně horší je to ovšem u žeber z ocelového plechu, kde pro stejné rozměry vychází účinnost něco málo nad 0,8. Výměník s ocelovými žebry stejných rozměrů musí mít při stejném výkonu o 17% větší plochu než výměník měděný.

- skutečný výkon žebra pak je:

Návrh pasivního chladiče (výměníku) pro PC

- počet žeber:

Návrh pasivního chladiče (výměníku) pro PC

zaokrouhlíme nahoru, tedy

n = 22 žeber. (celková teplosměnná plocha je 1,16 m2)

Pokud chcete mít jistotu, klidně zvyšte počet žeber o 1 až 3 kusy.

Konstrukce vlastního výměníku

Nebudu zde popisovat přesný výrobní postup k navrženému výměníku. Každý má jistě svou alespoň zevrubnou představu o tom, jak postupovat. Spíše zde poskytnu několik rad, kterých byste se mohli při realizaci chytit.

"Nosnou konstrukcí", na kterou se upevňují žebra, jsou trubky pro rozvod oběžné vody. Nejjednodušší je spájet tuto konstrukci z měděných trubek a tvarovek (kolena, T-tvarovky) pro vytápění. Prodávají se v různých velikostech (běžně DN12 - DN42), kde cenově nejvýhodnější jsou DN15. Při upevňování žeber na měděné trubky musíme dbát na to, aby byla dostatečná styková plocha mezi žebrem a trubkou. Pokud by žebra nedoléhala, nedošlo by k přestupu tepla na žebroví a celý výměník by byl v podstatě nefunkční. Proto žebra buďto jednoduše připájíme (bohužel ne každý má dost výkonnou pájku, hořáky na propan-butan, známého se svářečkou na hliník) nebo sestavíme podle následujícího schématu:

1. Žebra naskládáme na sebe, pevně stáhneme a vyvrtáme díry v místech, kudy povedou trubky. Díry musíme udělat menší, než je průměr trubky. Rozdíl poloměrů trubky a vyvrtané díry nám přibližně udává, jak daleko od sebe žebra budou. Na schématu je průměr trubky vyznačen čárkovaně.

2. Vyvrtané plechy prosekáme podle obrázku do hvězdice, kde jednotlivé výseky musí dostatečně přesahovat průměr trubky, aby na ni žebra šla nasadit. Přesah zvolte sami podle vašeho uvážení (záleží na tloušťce plechu a použitém materiálu) tak, aby vám to šlo dobře nasadit a přitom nevznikly u kořenu ohybu příliš veliké díry. Orientačně uvedu 1 až 4mm.

3. Následující obrázek ukazuje řez již nasazenými žebry v řadě za sebou. Jednotlivé "lístky" plechu mírně zohýbáme a žebra opatrně nalisujeme na konstrukci tak, aby se "lístky" předchozího žebra zamáčkly do ohybu žebra nalisovávaného (dle následujícícho obrázku).

Návrh pasivního chladiče (výměníku) pro PC

Z polotovarů připadají k dispozici plechy a pásy z mědi, hliníku, pozinkovaného ocelového plechu a pocínovaného ocelového plechu. V našem případě by materiál na žebroví (1,2 m2 přestupná plocha, tedy 0,6m2 plechu) vyšel cenově takto:

Měď (tabule tl. 0,5 mm o váze cca 2,7 Kg)1000,- Kč
Hliník (0,6 mm plech, cca 1kg)170,- Kč
Pozink (0,55mm plech, cca 2,5 kg)113,- Kč
Ocelový plech pocínovaný se mi bohužel nepodařilo najit kromě tabulí o rozměrech 0,4x180x125 mm81,- Kč/Ks.
Cena za 1m Cu trubky DN15132,- Kč
Cena 1 x Cu kolena DN155,- Kč
Cena 1 x Cu T-kusu DN 15 (cena se týká balení po 25 kusech)4,- Kč

Zmíněné plechy se dají nakoupit v železářství a měděné trubky a tvarovky v obchodě se zaměřením na vytápění. Orientační ceny lze zjistit například na adrese www.ferona.cz,

nebo vyhledáním obchodů pomocí klíčových slov na internetu (měděné plechy, měděné tvarovky, měděné fitinky).

Závěr

Na závěr bych ještě uvedl některá pravidla umístění pasivního chladiče. Ten je třeba umístit tak, aby se žebra nedotýkala bočnice počítačové skříně, nedotýkala se podlahy a nebyla ze shora překrytá jakýmkoliv předmětem, který by zabraňoval přirozené konvekci. Pro takové případy by bylo nutno do výpočtu zahrnout další součinitele snižující celkový výkon chladiče. Mezera mezi žebry by měla být cca 5mm (pokud by byla příliš malá, zabraňovala by rovněž volnému proudění vzduchu).

Zdroje:

Ing. Dr. Jaromír Cihelka a kol.: Vytápění, větrání a klimatizace

Doc. Ing. Jiří Nožička: Základy termomechaniky


Reklama
Reklama

Komentáře

Nejsi přihlášený(á)

Pro psaní a hodnocení komentářů se prosím přihlas ke svému účtu nebo si jej vytvoř.

Rychlé přihlášení přes:

Reklama
Reklama
Reklama