Galerie 38
Megatest 120GB disků: 2. část
i Zdroj: Svět hardware
Recenze Storage a RAM Pevné disky Seagate Western Digital Hitachi Samsung Maxtor

Megatest 120GB disků: 2. část | Kapitola 5

Eagle

19

Seznam kapitol

1. Megatest 120GB disků: 2. část 2. Přístupové doby 3. Sekvenční čtení a zápis, cache 4. H2benchW - aplikační testy
5. WinBench 99 6. PCMark 2004 7. Teplota, celkové zhodnocení

Druhá část megatestu 120GB disků je zde a přináší porovnání výkonu a také teploty (měřené laserovým teploměrem). Ze začátku povím něco k testům, jaké faktory mají vliv na reálný výkon, které výsledky jsou směrodatné a které nikoliv a na konci se již dozvíte, který z disků si získal mé sympatie.

Odměníme každého! Vyplňte komunitní průzkum a získejte luxusní ceny

Odměníme každého! Vyplňte komunitní průzkum a získejte luxusní ceny

Kdo jste, na čem a co hrajete, jaký obsah konzumujete a jaký vztah máte k AI? Věnujte nám pár minut a jako dárek za vyplnění získáte slevu na nákup a šanci získat také další luxusní ceny.

Reklama

WinBench 99, verze 2

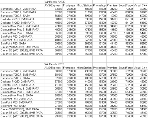
Tento test je již postarší, ale stále jeden z těch, které mají nějaký smysl. Testuje výkon v aplikacích, i když pravda dnes již postarších. Sestává ze dvou testů - Business Disk WinMark 99 a High-End Disk WinMark 99. První zmíněný je spíše orientovaný na práci běžného uživatele, zatímco ten druhý na provozování diskově intenzivních činností jako programování, Photoshop atp. Co mi však na tomto testu vadí, je, že k jeho činnosti je potřeba rozdělit disk na partition. To pak znamená, že je využita cache operačního systému, která může výsledky jednotlivých disků zkreslit (a také někde zkreslila). Tento test proto nelze brát jako stoprocentní ukazatel výkonu.

Business Disk WinMark 99

Megatest 120GB disků: 2. část

Business Disk WinMark 99 je test zaměřený spíše na práci běžného uživatele (pro specifičtější použití slouží test High-End Disk WinMark 99). Výsledky vypadají překvapivě - vítězí disky se Serial ATA. Důvod? Hledal bych ho spíše v řadiči VIA VT8237, který patří mezi absolutní špičku, pokud se bavíme o neserverovém použití.

Megatest 120GB disků: 2. část

Prostým zprůměrováním výsledků z FAT32 a NTFS testů jsem dostal graf výše. Vyhrává WD Caviar pro Serial ATA, následovaný Maxtorem, Seagatem a Samsungem (vše pro SATA). Tato čtyřka má cca. 150 procent skóre disků pro paralelní ATA, jejichž výsledky jsou taktéž vcelku vyrovnané, snad jen Samsung a Hitachi jsou trochu napřed.

High-End Disk WinMark 99

Jak jsem již říkal, tento test je spíše zaměřený na výkon v konkrétních aplikacích. Výsledky:

Megatest 120GB disků: 2. část

... a zprůměřovaně:

Megatest 120GB disků: 2. část

Vítězství disků se Serial ATA již není tak jednoznačné (i když stále jsou na prvních místech). Vítězí Maxtory DiamondMax Plus 9 a Samsungy SpinPoint P80.

Pro porovnání ještě přidávám výsledky subtestů High-End Disk WinMark 99:

Megatest 120GB disků: 2. část

Při bližším zkoumání výsledků je možné si všimnout, že verze pro Serial ATA mají v některých testech značný náskok - výrazně je to ve FrontPage. Dále je vidět, že WinBench jeví známky určitých anomálií, kdy někdy disky s větší cache mají v některých subtestech nižší skóre.


Předchozí
Další
Reklama
Reklama
Reklama
Reklama